欢迎访问【宜兴文物网
今天是:
您现在所在的位置:宜兴文物网 >> 文章正文
站内搜索
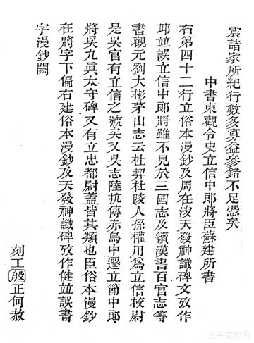
国山碑碑文
已阅:1222次  发布时间:2006-11-18 9:42:07
来源:本站原创
最近更新
追溯历史,感受宜兴名人风
11-3
宜兴洑溪徐氏宗祠入选第八
10-23
宜兴文物保护工作五年计划
10-23
文物法漫画第二期
9-29
文物法漫画第一期
9-29
新时代文明实践:传承历史
9-29
宜兴乡村记忆•
9-29
“宜兴市文物保护业务培训
9-29
“宜兴市文物保护业务培训
9-29
新时代文明实践 R
3-1
精彩推荐
追溯历史,感受宜兴名人风
11-3
宜兴市第一部村志《官林村
1-3
关于开展“走进历史文物,
12-30
我市召开村史村志编纂工作
9-1
“顶礼‘摩’拜——徐志摩
8-26
红色藏品中流淌着一首首深
10-21
《博物馆和文物保护单位安
6-4
骆驼墩遗址前的感叹
5-10
第三届宜兴文物摄影(网络
2-6
第三届宜兴文物摄影(网络
2-6
点击排行
关于开展“走进历史文物,
12-30
第三届宜兴文物摄影(网络
2-6
第三届宜兴文物摄影(网络
2-4
第三届宜兴文物摄影(网络
1-31
宜兴古桥梁
12-26
第三届宜兴文物摄影(网络
1-30
第三届“宜兴文物摄影比赛
4-1
文物法漫画第二期
9-29
宜兴市第一部村志《官林村
1-3
第三届宜兴文物摄影(网络
2-6
友情链接
恭喜您成为第 位客人,欢迎访问宜兴文物网(www.yxww.cn)!

Copyrights @ 2011-2026 宜兴市考古和文物保护中心 苏ICP备2023050223号-1 苏公网安备32028202231046号
通讯地址:宜兴市溪隐路200号 邮编:214200 电话:0510-87900059 87926703